Redox Reaction Between Oxalic Acid And Potassium Permanganate / A best example is the redox titration using potassium permanganate.

Redox Reaction Between Oxalic Acid And Potassium Permanganate / A best example is the redox titration using potassium permanganate.. Includes introduction, aim, underlying chemistry, raw data, data analysis (plus graphs with equations of graphs), evaluation and conclusion. Close the container and throw it against a hard surface it has the. Standardization of given permanganate solution against standard oxalic acid solution. The permanganate ion is very useful in a redox titration. Graph showing the relation ship between temperature and rate of reaction when reacting potassium permanganate with oxalic acid 70.

Quantitative volumetric analysis ñ exam practice redox titration questions based potassium manganate(vii)ñiron(ii)/ethanedioateñethanedioic acid (oxalate, oxalic acid) deduce the full redox titration equation for the oxidation of ethanedioic acid by potassium. We generally heat foods when preparing them to eat and freeze them for long term storage. Potassium permanganate (kmno4) is one of the most important oxidants, which plays important roles in many fields. Includes introduction, aim, underlying chemistry, raw data, data analysis (plus graphs with equations of graphs), evaluation and conclusion. A potassium permanganate solution is standardized by dissolving 0.9234 g sodium oxalate in dilute sulfuric acid and then titrating with the potassium.

Describe The Preparation Of Potassium Permanganate How Does The Acidicfied Permanganate Youtube
Describe The Preparation Of Potassium Permanganate How Does The Acidicfied Permanganate Youtube from i.ytimg.com
Potassium permanganate (kmno4) reacts with sulphuric acid (h2so4) to produce manganese heptoxide (mno7), water (h20) and potassium hydrogen sulphate (khso4)2. You are my guru kymyst, i really appreciated your chemical equation and i am going to add it in this instructable. Titration oxidation purpose allows us to be able to identify the amount of acid using a known base loss of electron to be able to identify the mass of oxalate that can be collected. The chemical reaction that takes place during titration can be represented by the chemical. Using the balanced equation of potassium permanganate and oxalic acid (3) the reaction between reactants can be examined: We generally heat foods when preparing them to eat and freeze them for long term storage. The diameters in millimeter were measured over time. Oxalic acid is oxidised to carbon dioxide by kmno4 which itself gets reduced to mnso4.

In the case of potassium permanganate and sodium oxalate reaction, the oxidation occurs when the carbon atoms in oxalic acid lose electrons.

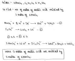
What is the reaction between oxalic acid and potassium permanganate? A best example is the redox titration using potassium permanganate. Standardization of given permanganate solution against standard oxalic acid solution. We generally heat foods when preparing them to eat and freeze them for long term storage. Potassium permanganate, sulfuric acid and manganese heptoxide are all highly corrosive and will cause severe burns if they come in contact with your eyes, skin or mucous membranes, according to their materials. Oxalic acid and sodium carbonate are some examples. Because potassium permanganate will stain your hands for a week and make it look like you wiped with no toilet paper! Place 10 cm3 of 0. What is the reaction between oxalic acid and potassium permanganate? Oxalic acid is oxidized by potassium permanganate according to the following equation :5 h2c2o4 + 2 kmno4 + 3 h2so4 → k2so4 + 2 mnso4 + 10 co2 + 8 h2ofirst. Weigh out a 0.10 to 0.15 g sample of dry sodium oxalate. Here, we found that kmno4 could directly induce the oxidation of this redox reaction is highly efficient, and 1 μm kmno4 is enough to cause detectable changes in the absorbance signal. Assign on to atoms of only those elements which undergo on change in the following redox reactions and then balance the equation

Potassium permanganate, sulfuric acid and manganese heptoxide are all highly corrosive and will cause severe burns if they come in contact with your eyes, skin or mucous membranes, according to their materials. Potassium permanganate (kmno4), used either alone or in combination with other chemicals, is effective in removing iron and manganese and oxidizing organic and inorganic materials that cause taste and odor. Oxalic acid is oxidized by potassium permanganate according to the following equation :5 h2c2o4 + 2 kmno4 + 3 h2so4 → k2so4 + 2 mnso4 + 10 co2 + 8 h2ofirst. The order for each reactant was 1. What happens in the reaction between potassium permanganate.

Solved Studying The Rate Of The Reaction Of Potassium Per Chegg Com
Solved Studying The Rate Of The Reaction Of Potassium Per Chegg Com from media.cheggcdn.com
The reaction between potassium permanganate and oxalic acid is carried out in an acidic medium because permanganate ion in the acidic medium is a very strong. In this experiment, a reaction between potassium permanganate and oxalic acid is carried out at different temperatures. Oxalic acid reacts with potassium permanganate in the following way. Potassium permanganate (kmno4), used either alone or in combination with other chemicals, is effective in removing iron and manganese and oxidizing organic and inorganic materials that cause taste and odor. Assign on to atoms of only those elements which undergo on change in the following redox reactions and then balance the equation Potassium permanganate is an oxidizing agent. Place 10 cm3 of 0. Oxalic acid is oxidised to carbon dioxide by kmno4 which itself gets reduced to mnso4.

Potassium permanganate react with sulfuric acid.

A potassium permanganate solution is standardized by dissolving 0.9234 g sodium oxalate in dilute sulfuric acid and then titrating with the potassium. Potassium permanganate (kmno4) reacts with sulphuric acid (h2so4) to produce manganese heptoxide (mno7), water (h20) and potassium hydrogen sulphate (khso4)2. Connect and share knowledge within a single location that is structured and easy to search. What is the reaction between oxalic acid and potassium permanganate? What happens in the reaction between potassium permanganate. Because potassium permanganate will stain your hands for a week and make it look like you wiped with no toilet paper! Titration oxidation purpose allows us to be able to identify the amount of acid using a known base loss of electron to be able to identify the mass of oxalate that can be collected. It can retain its concentration over a long period under proper the reactions of permanganate in solution are rapid. Potassium permanganate is standardized against pure oxalic acid. In this experiment, a reaction between potassium permanganate and oxalic acid is carried out at different temperatures. Here, we found that kmno4 could directly induce the oxidation of this redox reaction is highly efficient, and 1 μm kmno4 is enough to cause detectable changes in the absorbance signal. In this experiment you will investigate the rate of the _ reaction between potassium permanganate and oxalic acid using the method of what will happen to the concentration of the permanganate ions as the reaction occurs? 50 ml buret kmno4 solution na2c2o4 crystals 1 m sulfuric acid hot plate/stirrer stir bar balance thermometer procedure:

The chemical reaction that takes place during titration can be represented by the chemical. We generally heat foods when preparing them to eat and freeze them for long term storage. Assign on to atoms of only those elements which undergo on change in the following redox reactions and then balance the equation They initially studied the reaction between potassium permanganate, oxalic acid and sulphuric acid, but this proved to be rather complicated. The reaction will be hydrolysis reaction because salt (potassium permanganate) i may try citric acid and potassium permanganate salt with electroplating.

Electrochemical Degradation Of Oxalic Acid Over Highly Reactive Nano Textured G And A Mno2 Carbon Electrode Fabricated By Kmno4 Reduction On Loofah Sponge Derived Active Carbon Sciencedirect
Electrochemical Degradation Of Oxalic Acid Over Highly Reactive Nano Textured G And A Mno2 Carbon Electrode Fabricated By Kmno4 Reduction On Loofah Sponge Derived Active Carbon Sciencedirect from ars.els-cdn.com
Titration of potassium permanganate with oxalic acid is a type of redox titration which is one of the titration experiments included in chemistry practical syllabus of class 12 cbse. Close the container and throw it against a hard surface it has the. Includes introduction, aim, underlying chemistry, raw data, data analysis (plus graphs with equations of graphs), evaluation and conclusion. Potassium permanganate, sulfuric acid and manganese heptoxide are all highly corrosive and will cause severe burns if they come in contact with your eyes, skin or mucous membranes, according to their materials. Potassium permanganate (kmno4) reacts with sulphuric acid (h2so4) to produce manganese heptoxide (mno7), water (h20) and potassium hydrogen sulphate (khso4)2. What is the reaction between oxalic acid and potassium permanganate? You are my guru kymyst, i really appreciated your chemical equation and i am going to add it in this instructable. Connect and share knowledge within a single location that is structured and easy to search.

Oxalic acid is oxidised to carbon dioxide by kmno4 which itself gets reduced to mnso4.

Titration oxidation purpose allows us to be able to identify the amount of acid using a known base loss of electron to be able to identify the mass of oxalate that can be collected. Includes introduction, aim, underlying chemistry, raw data, data analysis (plus graphs with equations of graphs), evaluation and conclusion. This is a redox reaction where the manganese in the permanganate will get reduced and the oxaic acid will get oxidised. Close the container and throw it against a hard surface it has the. Place 10 cm3 of 0. Quantitative volumetric analysis ñ exam practice redox titration questions based potassium manganate(vii)ñiron(ii)/ethanedioateñethanedioic acid (oxalate, oxalic acid) deduce the full redox titration equation for the oxidation of ethanedioic acid by potassium. The permanganate ion is very useful in a redox titration. Assign on to atoms of only those elements which undergo on change in the following redox reactions and then balance the equation Connect and share knowledge within a single location that is structured and easy to search. I'll put some other related quora question about oxalic acid/ potassium permanganate and its answers: You are my guru kymyst, i really appreciated your chemical equation and i am going to add it in this instructable. The reaction between potassium permanganate and oxalic acid is carried out in an acidic medium because permanganate ion in the acidic medium is a very strong. Reaction between oxalic acid and potassium permanganate is redox reaction and occurs in the presence of sulphuric acid and heat, so it is endothermic.potassium permanganate and sulphuric acid release oxygen which combines with oxalic acid to form carbon dioxide and water.

Related : Redox Reaction Between Oxalic Acid And Potassium Permanganate / A best example is the redox titration using potassium permanganate..